我校数学科学学院郑波老师在计算数学领域国际TOP期刊《Computer Methods in Applied Mechanics and Engineering》(中科院SCI一区,IF=7.3,中国数学会T1)在线发表题为“An efficient three-step subgrid stabilized method for the steady natural convection equations”的研究论文。

自然对流方程是描述粘性Newton流体流动的一类典型的强耦合、非线性偏微分方程组。由于人们对非线性现象的本质认识有限,这使得自然对流方程的数值模拟成为当前科学与工程计算研究中具有基础性、挑战性的前沿热门课题之一。特别是对于高瑞利数问题,因非线性对流项占优,传统的数值算法力不从心。因此,需借助稳定化方法,有选择地对高瑞利数解的不可解析小尺度信息进行大规模数值模拟,进而克服传统数值模拟方法的不足。为解决上述问题,该研究设计了数值模拟高瑞利数自然对流方程简单而高效的三步亚格子稳定化算法,其中基于椭圆投影的亚格子稳定化方法可有效求解高瑞利数问题,而基于两网格离散的三步有限元方法可提高近似解的精度。在弱唯一性条件下,严格推导了三步亚格子稳定化算法的最优误差估计和算法参数尺度。理论结果表明,相比标准的两水平亚格子稳定化算法,该研究设计的三步亚格子稳定化算法改进了粗细网格尺度和细网格稳定化参数的选取机制。该文还给出了四类数值算例验证了理论结果的正确性和算法的有效性。

三步亚格子稳定化算法与其第一步、第二步的数值结果比较
上述解析解结果表明,三步亚格子稳定化算法可得到与理论结果相吻合的最优收敛阶。此外,三步亚格子稳定化算法的每一步都极大地提高了前一步近似解的精度。特别是当h=1/125 时,速度近似解的精度提高了18倍,而温度近似解的精度提高了近2.5倍。

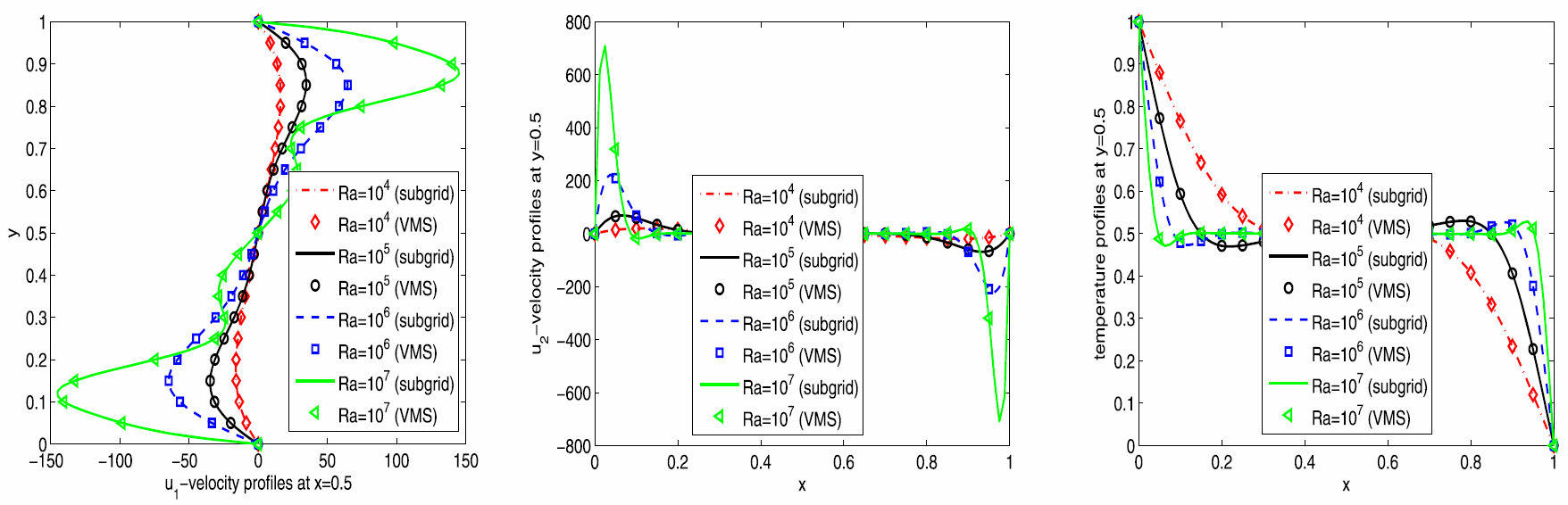
不同瑞利数下浮力驱动流问题在垂直中心线和水平中心线上速度和温度数值结果

不同瑞利数下浮力驱动流问题在热墙和冷墙的努塞尔数结果

瑞利数为10^7时浮力驱动流问题的速度流线、等压线和等温线结果
对于测试具有基于基准数据的浮力驱动流问题,三步亚格子稳定化算法所计算的近似解精度与基于两局部Gauss积分的变分多尺度算法(VMS)计算的结果之间没有明显差异。然而,对于所测试的不同瑞利数,该研究的数值结果与文献中的基准数据相媲美。

瑞利数为10^7时孤岛问题的速度流线、等压线和等温线结果
对于测试的孤岛问题,三步亚格子稳定化可以较好地捕获流线中的更多涡,并且等温线中的剖面变得更加复杂。测试表明该算法可以有效地模拟复杂的流体流动问题。
郑波老师为该论文第一作者和通讯作者。该研究得到了国家自然科学基金(12501540, 12271465和12026257)和贵州省基础研究计划(自然科学)面上项目(QKHJC MS [2025] 282) 等联合资助。
论文全文链接:https://doi.org/10.1016/j.cma.2025.118710